La fibre optique


Christian-Cyril Cordat


2003


Introduction


1 Le trajet lumineux et les modes de propagation

1.1 Fibre multimode à saut d'indice

1.2 Fibre multimode à gradient d'indice

1.3 Fibre monomode

1.4 Modes et dispersion modale


2 Le signal optique

2.1 La dispersion chromatique

2.2 La dispersion de polarisation

2.3 La perte de puissance


3 Technologies environnantes

3.1 Le multiplexage WDM et DWDM

3.2 Les connexions

3.3 Un réseau optique

3.4 Le codage du signal


Conclusion


Bibliographie


Annexe


Introduction


Bien avant l'invention du téléphone par Graham Bell (1876) , les télécommunications utilisaient déjà la voie du fil électrique (télégraphe) . Puis , grâce à Maxwell et Hertz , les informations ont emprunté la voie des airs (TSF) . Finalement , dans les années 1970 est apparu le principe de la fibre optique : transmettre un signal lumineux à travers un milieu transparent .

Nous nous intéresserons donc à la fibre optique qui a connu de nombreuses avancées depuis ses débuts et en annonce de bien plus prometteuses encore : la multiplicité des paramètres , qui jouent sur l'efficacité de la fibre , fait que l'on peut sans cesse améliorer les performances de celle-ci .

On peut modifier le trajet lumineux en choisissant un type de fibre particulier , qui permettra d'obtenir un chemin optique plus court et une dispersion modale moindre .
Le signal optique subit dans la fibre des altérations tant au niveau de sa composition que de sa structure et de sa puissance , qu'il faut s'efforcer de minimiser et de compenser .
Hors de la fibre , des technologies telles que le multiplexage et les connections ou encore l'établissement d'un réseau et les techniques de codage , permettent de transmettre dans les meilleures conditions un maximum d'informations .

1 Le trajet lumineux et les modes de propagation


1.1 Fibre multimode à saut d'indice

fibre à saut d'indice

Figure : La fibre à saut d'indice

Les fibres à saut d'indice présentent un coeur transparent d'indice constant , et une gaine sombre , il y a alors réflexion du rayon lumineux à la frontière entre les deux matériaux . Cependant , le chemin optique varie , ce qui est gênant puisqu'un même signal se retrouve étendu à la sortie .

1.2 Fibre multimode à gradient d'indice

fibre à gradient d'indice

Figure : La fibre à gradient d'indice

Ici l'indice varie peu à peu du centre à la gaine , la forme de la trajectoire est plus sinusoïdale car le rayon est dévié au fur et à mesure qu'il s'éloigne du centre .

La variation de chemin optique est ici plus faible car le coeur a un diamètre moindre .
L'étalement du signal est moins important grâce à la variation de l'indice .

1.3 Fibre monomode

fibre monomode

Figure : La fibre monomode

Dans une fibre monomode , on obtient un seul mode grâce à la très faible dimension du coeur (diamètre de 10 mm et moins) . Ainsi le chemin de la lumière est imposé , il n'y en a qu'un seul : celui du coeur . Il existe expérimentalement des fibres optiques monomodes à cristal photonique .

1.4 Modes et dispersion modale

Les modes sont l'expression des différents chemin optiques que peut suivre le signal dans la fibre .

Une formule expérimentale donne le nombre de modes dans une fibre à saut d'indice :

nombre de modes

L'ouverture numérique traduit l'angle d'entrée des faisceaux lumineux dans la fibre .

On voit que le nombre de modes dépend du diamètre du coeur au carré ! Il est donc important de minimiser le diamètre du coeur . La valeur des indices et la longueur d'onde choisie influent , mais dans une moindre mesure .

Expliquons la dispersion modale :

dispersion modale

Le plus court chemin est sur l'axe optique :

chemin le plus court

Le plus long est réalisé pour l'angle limite au-delà duquel il n'y a plus réflexion :

chemin le plus long

Pour L=1 km , nc=1.43 , ng=1.42 , Dt=33 ns , ce qui n'est pas négligeable . On voit que déjà sur 1 km , la dispersion modale introduit un retard notable , c'est pourquoi les fibres multimodes ne sont utilisées que pour des réseaux locaux .

2 Le signal optique


2.1 La dispersion chromatique

Lorsque l'on envoie un signal lumineux , il y a plusieurs longueurs d'onde présentes , soit parce que la source est étendue , soit parce que la source présente en réalité un pic centré sur l .

Par exemple , une LED (light emitting diode) , a un pic d'une largeur de 10 nm , un laser , un pic d'une largeur d'1 nm et moins .

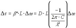
Le mode fondamental a une constante de propagation définie par beta . Le temps de propagation est : tauavecomega. La dispersion chromatique traduit les variations de t selon l : la dispersion. La dispersion a deux composantes : la dispersion due au guide et aux variations d'indice , et la dispersion due à la longueur d'onde .

On a : var, on écrit alors : delta

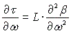
On voit que la différence de temps de parcours d'un signal de largeur spectrale Dw , dépend de celle-ci , de la longueur L de fibre parcourue et de b '' , dérivée seconde de la constante de propagation du mode .

On a :dispersion modale, avec tau et var

D'où : disp et beta avec delta

Comme omega , delta , d'où delta

Pour corriger la dispersion chromatique , on fait appel à un réseau de Bragg à pas variable .

Un réseau de Bragg à pas constant se comporte comme un filtre pour une longueur d'onde donnée . Avec un réseau à pas variable , on travaille sur toute une bande spectrale , on ralentit les longueurs d'onde les plus rapides . En optimisant la variation continue du pas du réseau , le signal issu de ce réseau retrouve sa forme d'origine .

réseau de bragg

Figure : Effet sur un signal d'une fibre à réseau de Bragg à pas variable

Un réseau de Bragg est inscrit dans la fibre par holographie ou bien par chauffage , tension ou pression , sur un segment de quelques centimètres .
D'après Optics Letter , la méthode par compression (avec une compression de 2.7 % est plus efficace que la tension , mais il y a une force limite à ne pas dépasser pour ne pas rompre la fibre : environ 22 Newton . Par contrôle actif , on obtient un réseau à variations continues et un gain identique pour toutes les longueurs d'onde .

2.2 La dispersion de polarisation

Dans l'absolu , on ne réalise pas de fibre parfaite ; le problème auquel nous nous intéressons ici est la polarisation de la lumière dans la fibre .

Les imperfections de fabrication produisent un coeur de forme plutôt elliptique . De plus , à l'utilisation , les courbures déforment aussi la fibre ; on a alors un milieu anisotrope : au vu du faisceau , il y a des indices différents selon la direction . Dans la fibre , on constate une biréfringence : un rayon non polarisé incident est décomposé en deux rayons (extraordinaire et ordinaire) polarisés linéairement mais l'un en mode transverse magnétique [TM] et l'autre en mode transverse électrique [TE] .

Plusieurs corrections existent :

- Un système électrique peut , de loin en loin sur la fibre , capter le signal et après analyse émettre le signal comme à son origine . On perd ici l'efficacité du traitement tout optique .

- Des fibres à maintien de polarisation comme les fibres à coeur elliptique ou les fibres PANDA ou TIGER .

maintien de polarité

Figure : Fibres à maintien de polarisation

Avec ces fibres , on peut contrôler la polarisation le long de la fibre .

La perte de polarisation est utile (eh oui !) pour l'utilisation des fibres comme capteurs : lorsque la fibre subit des contraintes , le signal est modifié et on peut l'analyser .

2.3 La perte de puissance

La matière première de la fibre optique est la silice , mais elle est rarement parfaitement pure et est accompagnée de petites impuretés . On peut caractériser l'atténuation spectrale de la silice :

atténuation spectrale

Figure : Profil de l'atténuation spectrale de la fibre optique faite de silice (Brun)

On voit que plusieurs paramètres contribuent à faire perdre de la puissance au signal optique :
- Tout d'abord ce que l'on appelle la diffusion Rayleigh qui traduit à la fois l'effet des impuretés , des imperfections , des craquelures et des variations d'indice .
- Ensuite les effets de vibration de la liaison hydroxyde (OH oxygène hydrogène) , que l'on ne peut pas supprimer , et qui présentent un pic de forte atténuation autour de 1400 nm .
- On a aussi une influence des ultraviolets et des infrarouges (UV et IR) .

En superposant ces profils d'atténuation , on remarque trois fenêtres spectrales à l'atténuation assez faible (flèches noires sur la figure) :
- Autour de 900 nm
- Autour de 1300 nm
- Et autour de 1550 nm Ces trois fenêtres sont celles que l'on utilise couramment .

Il existe certaines fibres (chez Lucent Technologies) qui n'ont pas de pic dû à OH vers 1400 nm , elles présentent alors une très large fenêtre exploitable de 1335 à 1625 nm .
Ainsi , en minimisant certains effets d'atténuation , on peut élargir les fenêtres utilisables par le signal .

Cependant , il n'est pas possible de supprimer totalement tous les effets qui atténuent le signal . Ainsi , le signal pour parcourir une longue distance doit être ré-amplifié régulièrement .
Pour cela , on utilise ce que l'on appelle des EDFA (Erbium Doped Fiber Amplifier ou amplificateur à fibre dopée à l'erbium) . Le dopage est une technique qui consiste à inclure un élément chimique dans la composition de la fibre . On choisit un élément qui possède des propriétés intéressantes au niveau de sa structure électronique . On privilégie ce que l'on appelle les terres rares (de la famille de lanthanides comme le Praseodymium , le Terbium , l'Ytterbium ou encore l'Erbium) .

L'Erbium Er Z=68 : 1s22s22p63s23p64s23d104p65s24d105p66s24f125d0

Les ions Erbium sont excités par les longueurs d'onde suivantes :
514 , 532 , 667 , 800 , 980 , 1480 nm

Si ces longueurs d'onde parcourent la fibre dopée , les ions Erbium se trouvent excités à un niveau d'énergie supérieur , il y a alors une émission stimulée , et de l'énergie photonique est libérée par exemple vers 1520 à 1620 nm si l'on choisit les longueurs d'onde soulignées . Ceci est intéressant , car on se situe précisément dans les longueurs d'onde des télécoms . Ce phénomène est appelé effet RAMAN stimulé (voir annexe).
Un EDFA se présente comme un segment de quelques mètres de fibre dopée à l'erbium .

Pour que le dopage , est un effet , il faut envoyer dans l'EDFA un signal de pompe et un signal d'information :

edfa

Figure : Amplificateur à fibre dopée à l'Erbium

Dans une fibre multimode , on peut envoyer le signal de pompe dans la gaine .
Une technique courante de dopage est le codopage Erbium-Ytterbium : le faisceau de pompe est absorbé par l'Ytterbium qui est excité à un niveau d'énergie supérieur , l'énergie est alors transférée à l'Erbium :

codopage

Figure : Effet du codopage Ytterbium - Erbium

L'effet RAMAN correspond donc au couplage entre les vibrations du réseau cristallin et les vibrations de la source laser . On choisit un laser précis pour obtenir après décalage RAMAN un signal dans la fenêtre télécom .
Il est de plus important de maximiser le transfert d'énergie entre le signal de pompe et le signal télécom (à l'heure actuelle plus de 50%) .
L'avantage avec le dopage est que l'on amplifie l'ensemble des l vers 1550 nm , et ceci est indépendant de la polarisation .
Cependant le profil du gain n'est pas plat , et de plus la puissance se subdivise pour le nombre de longueurs d'onde .
Un autre souci est qu'il faut minimiser le bruit de ce qui est excité sans qu'on le veuille .

On a vu une situation où signaux de pompe et télécom étaient dans la même direction , mais dans la pratique , la logique veut qu'ils soient dans des directions opposées , ainsi le signal de pompe est le plus fort lorsque le signal télécom est le plus faible et inversement .

3 Technologies environnantes


3.1 Le multiplexage WDM et DWDM

A l'heure actuelle , le besoin en bande passante est une réalité effective . Mais poser une fibre a un coût non négligeable et on ne peut pas se permettre de poser plusieurs fibres pour augmenter la quantité d'informations transportables . Il est donc nécessaire de faire en sorte d'exploiter au maximum les fibres existantes déjà installées . D'où l'idée du multiplexage : transmettre plusieurs signaux simultanément dans la même fibre .
Le Wavelength Division Multiplexing (WDM) et le DenseWDM (DWDM) sont des technologies permettant de transmettre plusieurs signaux simultanément dans une même fibre optique . On cherche dans tous les cas à optimiser l'utilisation de la fenêtre de transmission de la fibre (environ 100nm) . (Il existe aussi le CoarseWDM qui est une autre norme ) .
Le WDM sépare chaque canal de 0.8nm et le DenseWDM de 0.2nm .
L'intérêt de la fibre optique est que ces signaux ne peuvent se confondre , à la réception ils seront parfaitement distingués .

principe du multiplexage

Figure : Principe du multiplexage

On réalise le multiplexage principalement dans des fibres monomodes .
A partir de plusieurs laser à spectre fin ou d'un seul à spectre large , on réalise un échantillonnage de longueurs d'onde de l'ordre du 1/10 ème de nanomètre .
On parvient à l'heure actuelle à réaliser 256 canaux dans une seule fibre .
Un système que l'on appelle OADM (Optical Add Drop Multiplexer) , permet d'inclure un canal supplémentaire ou d'en retirer un à un lieu précis de la fibre , ceci se réalise à l'aide de filtres (comme des réseaux de Bragg par exemple) .

En réalisant un échantillonnage de plus en plus fin , on pourra obtenir des fibres à très large bande passante , et ajouté au système OADM (avec le principe d'une autoroute : on peut aller d'un bout à l'autre ou sortir - rentrer en un lieu précis) cela permettra d'obtenir un réseau flexible. Le multiplexage est ainsi une technologie incontournable des télécommunications par fibre optique .

3.2 Les connexions

On réalise bien qu'en montant un réseau de fibres optiques , il faut à un moment ou à un autre connecter des fibres entre elles ; autant en électronique , il est facile de connecter deux fils de cuivre par soudure ou épissure , autant joindre parfaitement deux fibres est une tâche contraignante et minutieuse . Il est essentiel de minimiser les pertes car c'est aux connexions que le signal perd l'essentiel de sa puissance :

pertes aux connexions

Figure : Pertes aux connexions sur une ligne optique

Sur cette figure réalisée grâce à l'instrumentation du laboratoire de l'ARUFOG , on voit aux évènements 3 , 4 et 5 que l'affaiblissement du signal est non négligeable aux lieux de connexion entre les différentes fibres .

Il faut réunir de nombreuses conditions afin de réaliser une connexion qui minimisera les pertes :
- aplanir la face de contact , ou la rendre parfaitement sphérique par polissage , en veillant à ce qu'elle soit perpendiculaire à l'axe optique
- aligner les deux fibres (voir la figure suivante)
- traiter les faces avec un revêtement antiréflexion
- vérifier la soudure si soudure il y a et l'entourer d'une gaine de protection

décalages aux raccordements

Figure : Les différents décalages au raccordement de fibres et leur affaiblissement (Brun)

Réaliser toutes ces conditions sur un câble de l'ordre du micromètre en laboratoire et plus encore sur le terrain n'est pas chose aisée . Cela requiert du matériel de pointe (j'ai pu voir un tel appareillage au labo de l'ARUFOG , avec une caméra microscopique et thermique , et des petits boîtiers pour dénuder et sectionner proprement la fibre) .

Si on ne soude pas les fibres , il faut alors travailler avec les nanotechnologies : des commutateurs microélectromécaniques sur lesquels on monte des miroirs assurent la redirection du signal à la sortie d'une fibre vers d'autres fibres (on est à l'échelle de la microseconde , mais des technologies nouvelles sont de l'ordre de la nanoseconde -trioxyde de lithium niobium- et même de la picoseconde -avec des polymères-) . Le traitement , on le voit , est très efficace .

3.3 Un réseau optique

La principale application de la fibre optique se trouve dans les télécoms ; on construit donc des réseaux à l'échelle d'une entreprise , d'une ville , d'une région , d'un pays et même au-delà (câbles transatlantiques) .

A l'échelle d'un pays , un réseau comporte ce que l'on appelle une épine dorsale (en anglais backbone) assurée par une fibre à très haut débit , qui dessert des réseaux plus locaux sur toute sa longueur ; une telle ligne ne boucle pas , c'est ce que l'on appelle pour un réseau , une topologie point à point . De telles fibres parcourent plusieurs centaines de kilomètres et requièrent un certain nombre d'amplificateurs , qu'il faut minimiser car ils augmentent le coût du réseau . On installe sur ces lignes des OADM qui permettent de délivrer un canal précis à un réseau local .

L'autre forme de réseau correspond à une plus petite échelle : ce sont les LAN et les MAN (Local et Metropolitan Area Networks) . Ils prennent , eux , une topologie en anneau , en maille de filet , ou en étoile , pour assurer les communications et échanges de données à l'échelle locale (entreprises , particuliers) . Ces réseaux , ont pour centre névralgique un hub qui rassemble les fonctions de multiplexage - démultiplexage , d'amplificateur , de commutateur avec les autres réseaux , de gestion et de compatibilité entre les différents protocoles d'échanges (TCP/IP , modes synchrones et asynchrones , SONET (synchronous optical network) , SDH (synchronous digital hierarchy) ...) . Les noeuds de ces réseaux comportent un OADM .

Le souci dans tout réseau est le risque de panne : pour éviter de bloquer toute communication , on associe souvent deux fibres , ainsi , si l'une se rompt , l'autre peut prendre le relais . Mais ceci nécessite une intervention rapide : on implémente donc dans le système un protocole de contrôle actif qui peut répondre instantanément en cas de disfonctionnement en redirigeant le trafic vers la seconde fibre , mais ceci augmente le coût global du réseau .

Pour établir un réseau de coût minimal avec un fonctionnement assuré en toutes circonstances , il existe des algorithmes informatiques qui permettent de construire des réseaux autorisant toutes les communications .

3.4 Le codage du signal

L'information transportée est codée en binaire (succession de 0 et de 1) .

le binaire

Figure : Le binaire en électrique et en optique

Les différents moyens de modulation que l'on connaît s'appliquent aussi en optique (modulation d'amplitude , modulation de fréquence et modulation de phase) :

le codage

Figure : Le codage de l'information optique

Lors de la transmission cependant , un bit (0 ou 1) peut se transformer , ce qui peut créer une erreur . On pourrait alors pour éviter cela envoyer plusieurs fois le même signal (2 , 3 ou plus) , mais cela consomme beaucoup de bande passante pour une efficacité limitée . On peut adopter une solution qui s'appelle le code de Hamming : à l'aide d'une matrice de codage précise , on transmet un signal , qui , à sa réception , est décodé par une matrice de décodage associée à celle de codage et assure de retrouver le signal d'origine même si une erreur a surgi . La transmission codée demande plus de bande passante que le signal simple , mais est très efficace : on minimise le taux d'erreur en n'augmentant que légèrement la quantité d'informations à transmettre .

Conclusion

  Etablir un réseau de télécommunications par fibre optique fait appel à de nombreuses compétences comme on a pu le voir , et l'optimiser tant au niveau des performances que du coût demande des évolutions et avancées notables dans des domaines aussi variés que la fabrication , la physique , l'informatique , l'optique ...
  Le choix du type de fibre joue sur le temps de parcours des modes et permet d'optimiser l'étalement du signal .
 Faire appel à la technique des réseaux de Bragg conserve la forme du signal , la mise en oeuvre de fibres de forme spéciale corrige la polarisation de la lumière et l'exploitation des propriétés électroniques des terres rares autorise l'amplification efficace du signal .
 Hors de la fibre optique , le multiplexage rentabilise une fibre en laissant une souplesse d'utilisation , tandis que l'attention apportée à la réalisation des connexions et du réseau assure un fonctionnement optimal , d'autant plus que les techniques de codage garantissent la fiabilité .
  Il ne faut cependant pas oublier que toutes ces avancées servent aussi les autres applications de la fibre optique :
- Endoscopie médicale et industrielle
- Capteurs industriels (pression , etc.)
- Eclairage (industriel , urbain , artistique)

Bibliographie

Ouvrages papiers :

Cours sur la fibre optique , Mr Gérald BRUN (maître de conférence à l'Université de St Etienne , labo TSI )

Dictionnaire de physique , Elie LEVY

Introduction to DWDM Technology , Data in a rainbow , Stamatios V. Kartalopoulos (Lucent Technologies , Bell Labs)

Optics Letters , Décembre 1994 ,Vol 19 No 23 , pages 1979 et plus (publication Optical Society of America)

Documentation et spécifications des produits de la société Keopsys (Key Optical Systems) française de Lannion , amplificateurs , émetteurs , récepteurs ...

Ouvrages électroniques :

Ecole nationale supérieure des télécoms : www.enst-bretagne.fr
Thèse en optique de Mr Mustapha Razzac (ENST Bretagne)
Thèse de Mr Paul Ghobril -minimisation du coût d'un réseau optique- (ENST Paris)

Laser à verre codopé Erbium et Ytterbium , Eric Tanguy et Jean-Paul Pochelle

Remerciements à Mr Gérald Brun , et au laboratoire de l'ARUFOG (Association pour la Recherche et l'Utilisation de Fibres Optiques et de l'optique Guidée) .

Annexe

Effet Kerr : biréfringence électrique . Un diélectrique , solide , liquide ou gaz , transparent , optiquement isotrope , devient biréfringent lorsqu'il est soumis à un champ électrique . Ce phénomène de biréfringence provoquée , découvert par Kerr (en 1875) , est connu sous le nom d'effet Kerr .
Le diélectrique soumis au champ E devient optiquement équivalent à un cristal biréfringent uniaxe , dont l'axe serait parallèle à E . La différence de ses indices principaux , extraordinaire ne , et ordinaire no , est proportionnelle au carré du champ : ne - no = KlE² . l est la longueur d'onde de la lumière utilisée , K la constante de Kerr du corps étudié , pour la lumière utilisée . Exemple : la constante K du nitrobenzène liquide pour la lumière jaune du sodium vaut environ + 3.10-12 (l en mètre , E en V/m) .
On a pu montrer que l'effet Kerr est dû à un effet d'orientation des molécules du corps par le champ électrique .
Ce phénomène présente une particularité remarquable . Il s'établit et disparaît en des temps très brefs (de l'ordre de 10-10 s) . Si une cellule de Kerr reçoit un faisceau de lumière d'intensité constante , l'intensité de la lumière émergente suit fidèlement les modulations du champ électrique , même si ces modulations sont très rapides . Ce fait est mis à profit par exemple pour enregistrer le son des films sonores .

cellule de Kerr

Figure : Schéma de principe d'une cellule de Kerr


Effet Raman : Le spectre de la lumière diffusée , par certaines substances , le benzène par exemple , sous l'effet d'une radiation excitatrice monochromatique , comprend la radiation excitatrice (effet Rayleigh) accompagnée par un certain nombre de radiations satellites dont les fréquences se répartissent symétriquement de part et d'autre de la fréquence excitatrice N :

... N3 N2 N1 N N1' N2' N3' ...

Ce type de diffusion est appelée effet Raman , du nom du physicien qui l'a découvert expérimentalement (en 1928) .
Les radiations dont les fréquences sont inférieurs à N , dénommées anciennement radiations négatives , sont appelées aujourd'hui radiations Stokes -- car elles obéissent à la loi de Stokes -- , celles dont les fréquences sont supérieures à N , les anciennes radiations positives , sont aujourd'hui dénommées radiations anti-Stokes .
L'effet Raman obéit à une loi expérimentale remarquable et simple : les différences entre les fréquences de chacune des radiations satellites et celle de la radiation excitatrice dépendent uniquement de la substance diffusante , et nullement de la fréquence excitatrice . L'ensemble de ces différences de fréquence n1 , n2 , n3 ...

n1 = N - N1 = N1' - N ; n2 = N - N2 = N2' - N , etc.

est appelé spectre Raman de la substance envisagée .
L'explication du phénomène fut d'abord demandée à l'électromagnétisme classique . Malgré quelques succès , cette tentative aboutit à un échec , car elle s'est révélée incapable d'expliquer un deuxième résultat expérimental bien établi : l'intensité des radiations Stokes est toujours très nettement supérieure à celle des radiations anti-Stokes . Une explication plus complète a été obtenue en faisant appel à la physique quantique . Voir figure . On peut y voir que chaque fréquence Raman n représente , à la constante de Planck h près , la différence d'énergie entre l'état fondamental et chacun des états excités de la molécule étudiée .
Concurremment avec l'étude de leur spectre d'absorption , l'étude de leur spectre Raman donne d'utiles indications sur la structure des molécules .
Selon la théorie quantique , le phénomène résulte de chocs individuels entre photon excitateur et molécule .

radiations stokes

Figure : Radiations Stokes . La molécule absorbe l'énergie perdue par le photon

radiations anti-stokes

Figure : Radiations anti-Stokes . La molécule cède de l'énergie au photon